Internet Infrastrucure Monitor#

Ookla for Good Program#

Ookla for Good™ is an initiative to provide data, analysis, and content to organizations that are seeking to improve people’s lives through internet accessibility. Ookla partners with organizations whose goals align with theirs to provide unbiased information about the state of networks worldwide

Dataset Description#

Ookla’s dataset relies on user-generated speedtest information. Everytime a users conducts a speedtest on their laptop or mobile phone using fixed or broadband internet connections, variables related to the internet connection and the user are recorded. This data is then processed to generate indicators such as number of users who conducted the test, download speed, upload speed and latency. The open dataset can be downloaded from AWS S3 and it is available quarterly at quadkey zoom level 16. It has Global Fixed Broadband & Mobile Network Maps. Through the Development Data Partnership, a more disaggregated and detailed file can be obtained.

The variables available in the opensource dataset are:

  • tile: Tile quadkey at level 16.

  • tile_x, tile_y: x and y from tile centroid. Not available every year.

  • avg_d_kbps: Average download speed in Kbps.

  • avg_u_kbps: Average upload speed in Kbps.

  • avg_lat_ms: Average latency in ms.

  • avg_lat_down_ms: Average latency download in ms.

  • avg_lat_up_ms: Average latency upload in ms.

  • tests: Number of tests that produced the result.

  • devices: Number of devices that produced the result.

For this analysis we are going to study average dowloading speeds at Quadkey level 12.

Data Quality#

Speeds Distribution#

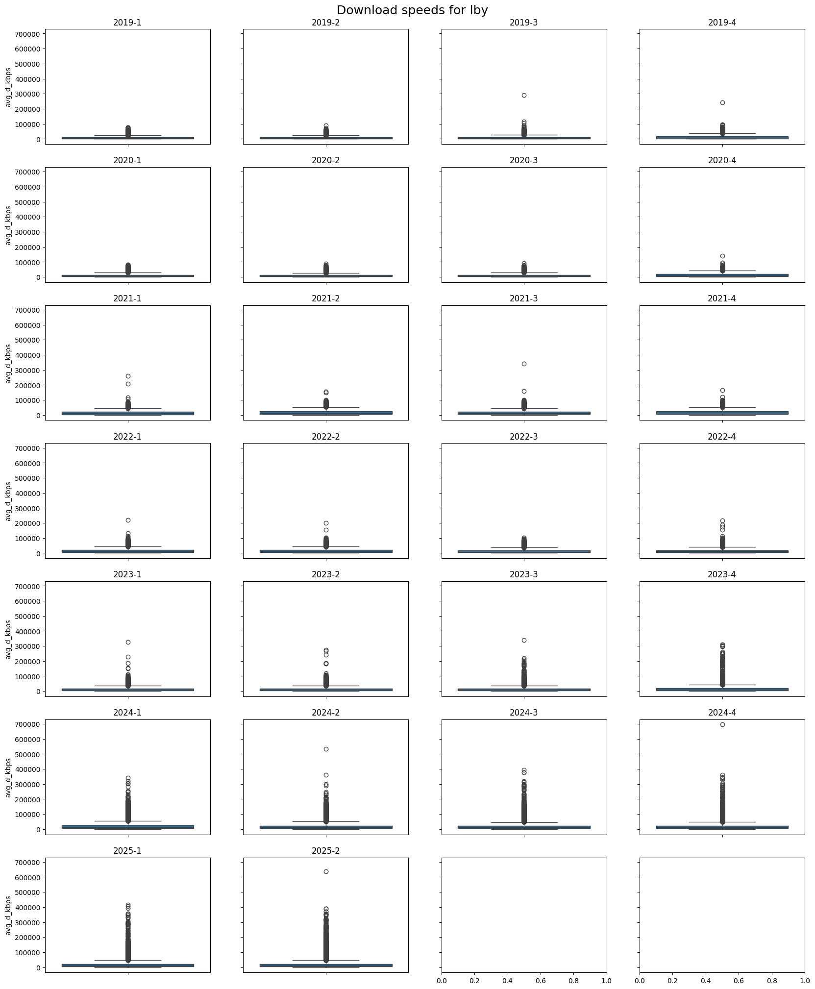
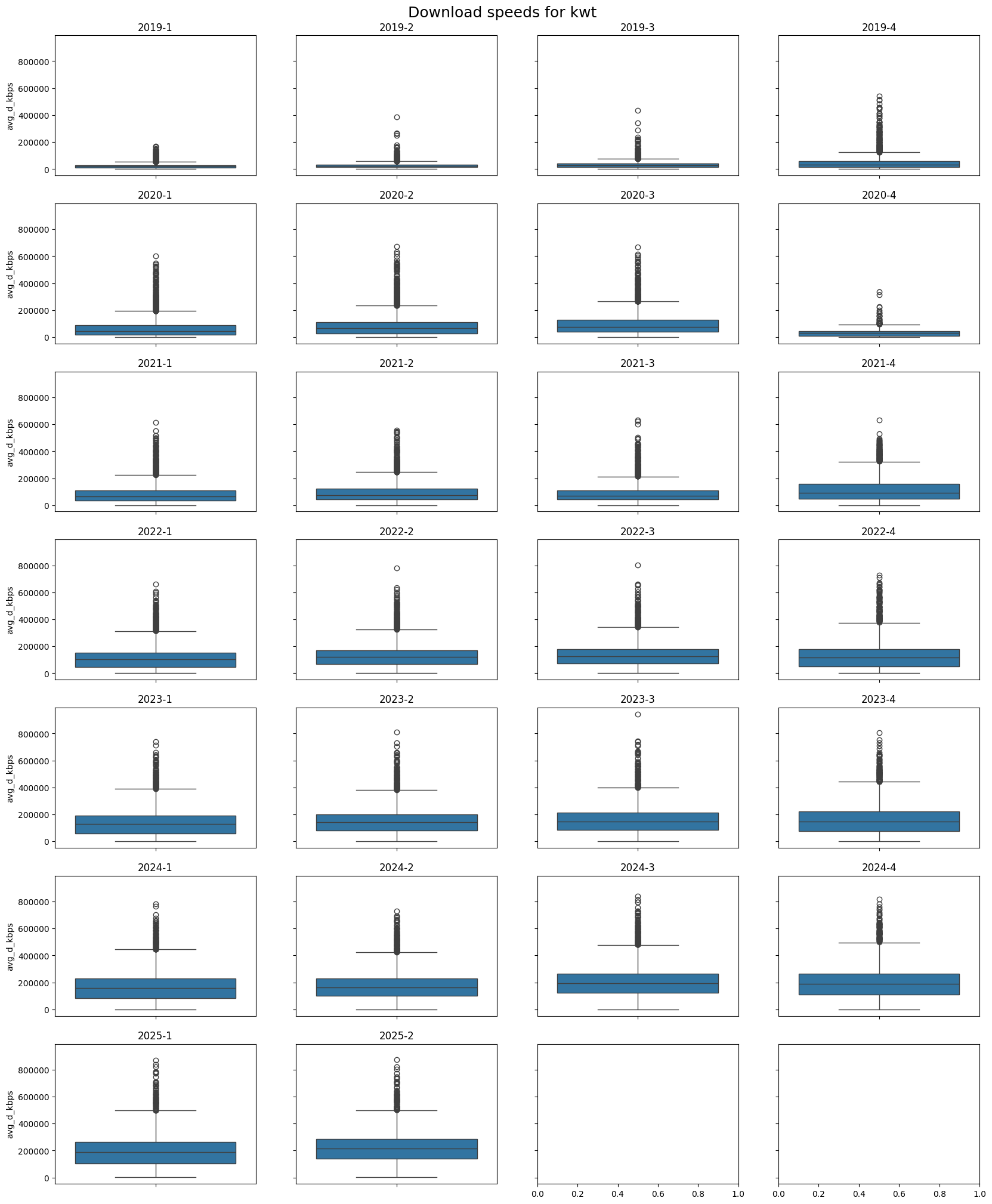
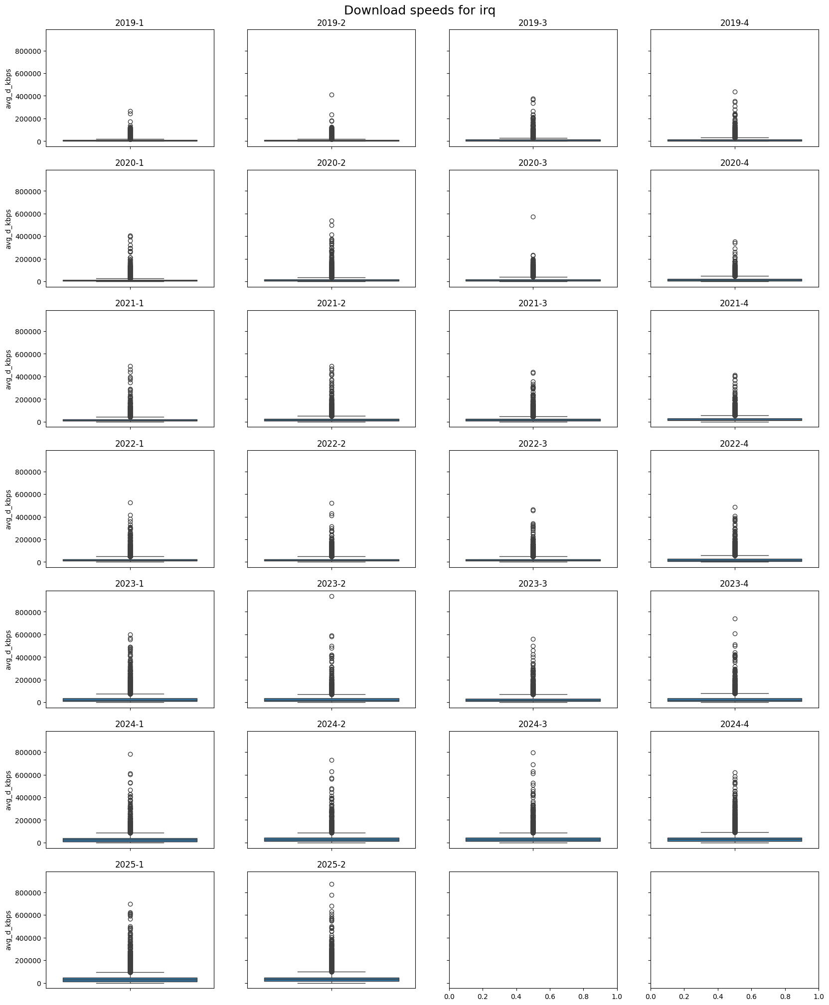
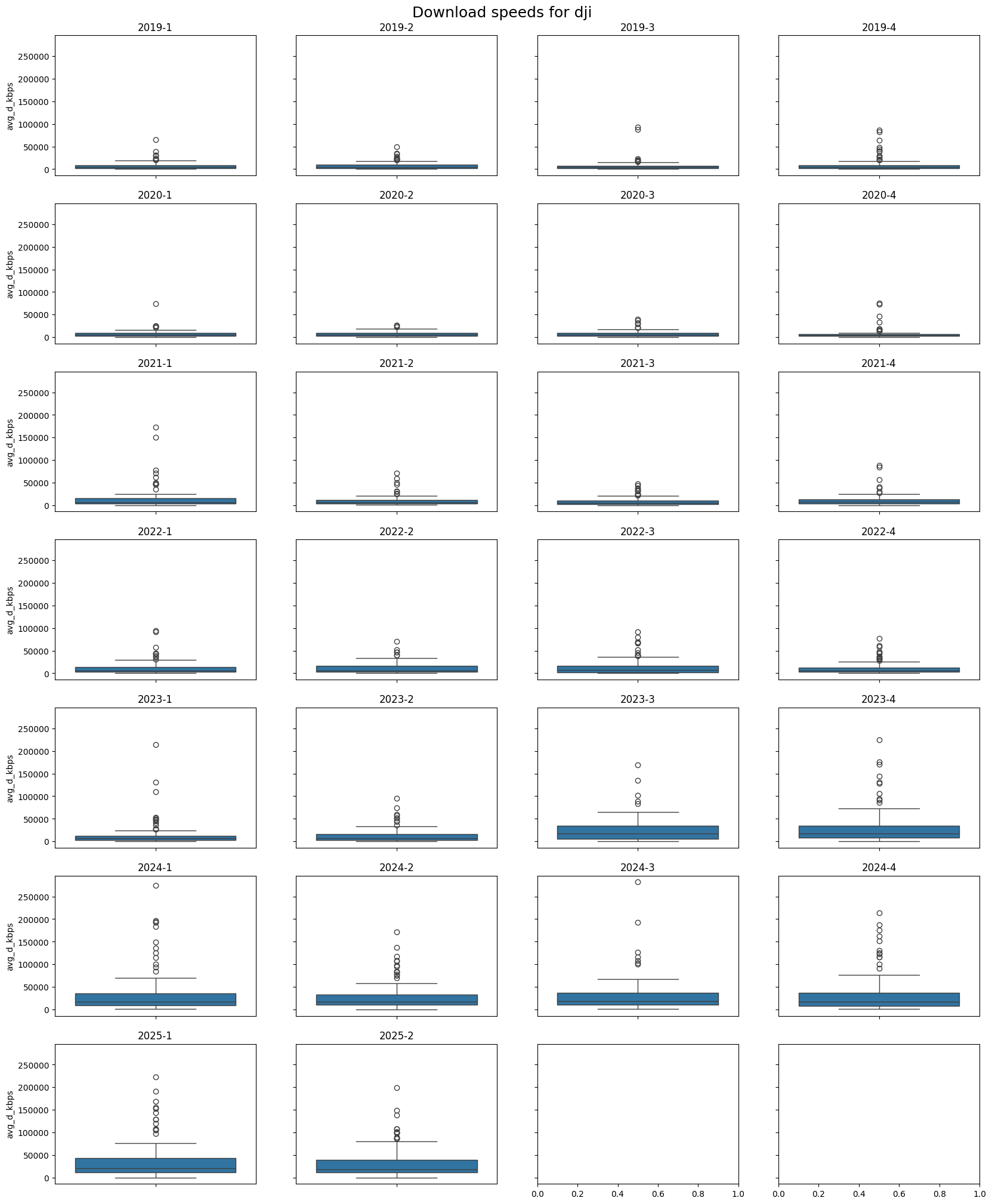
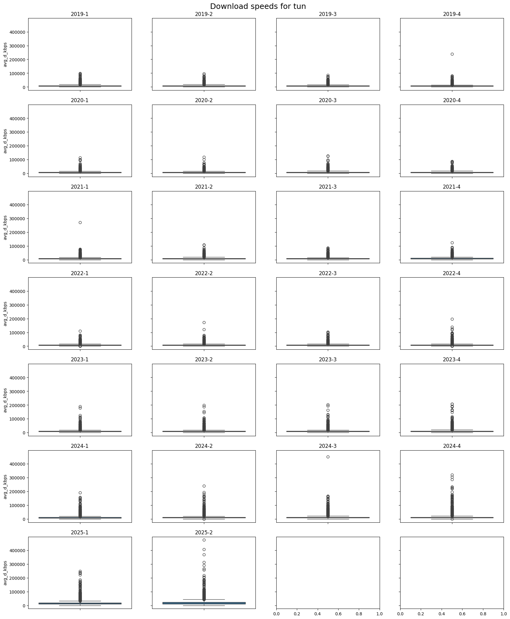
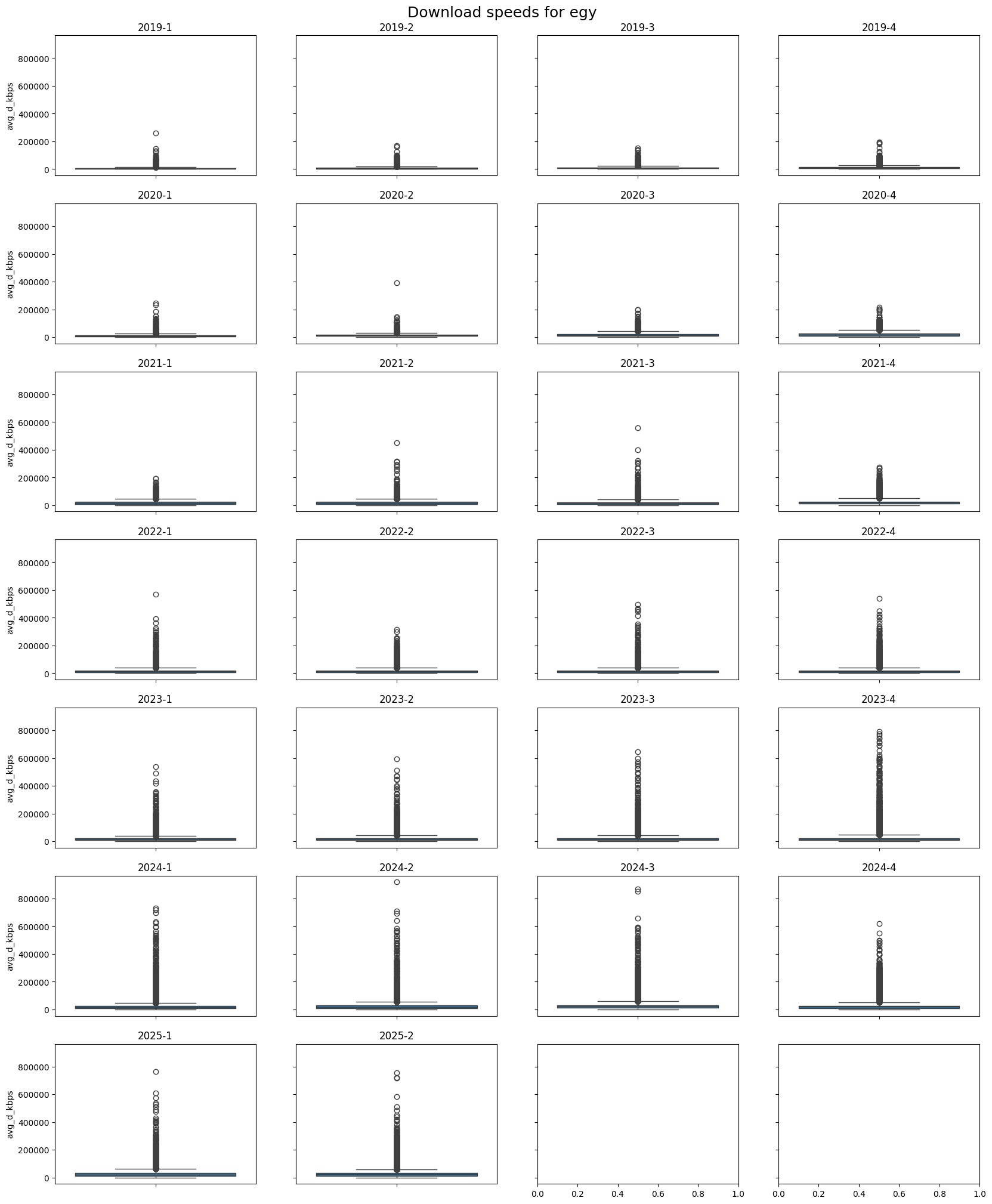
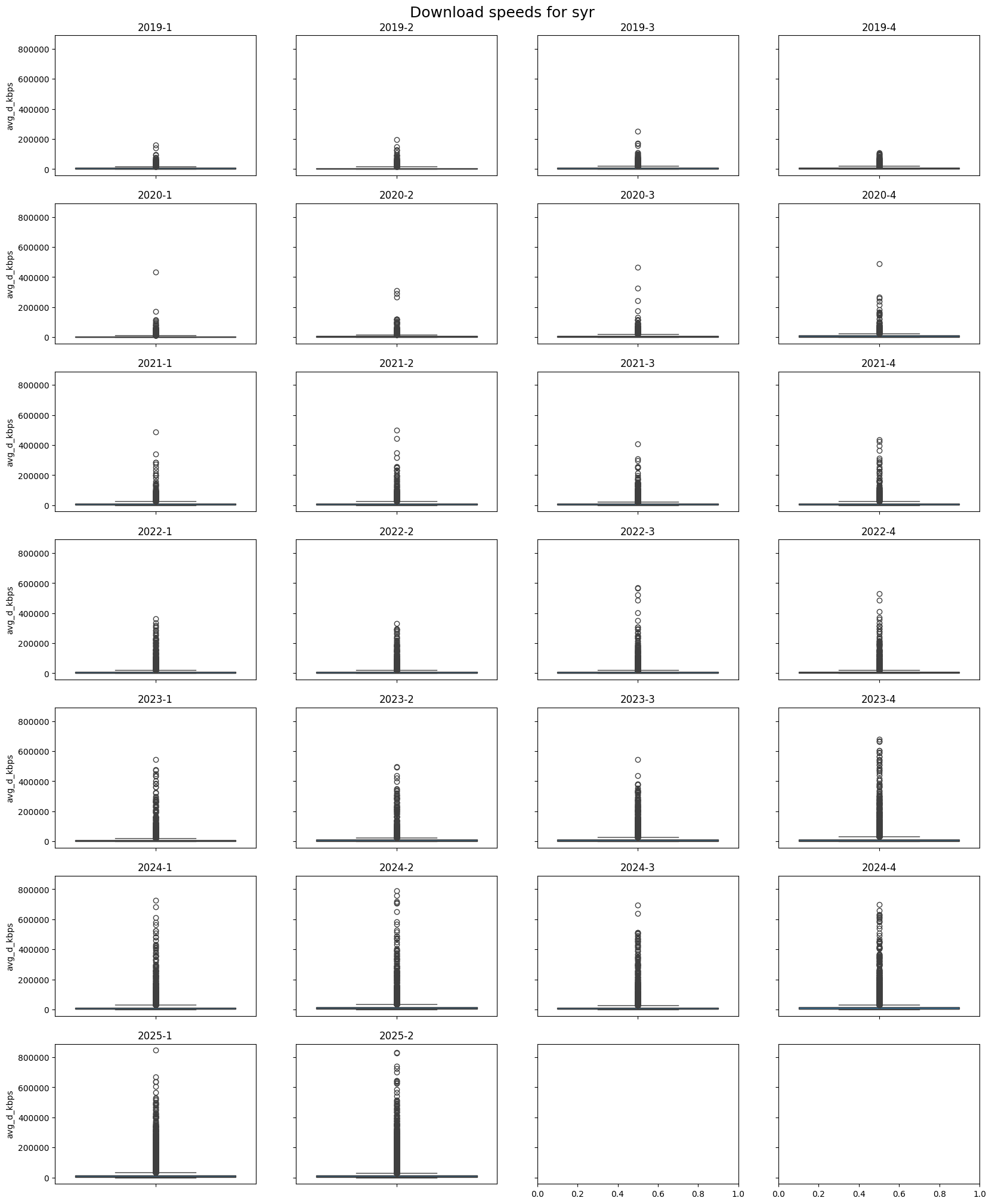
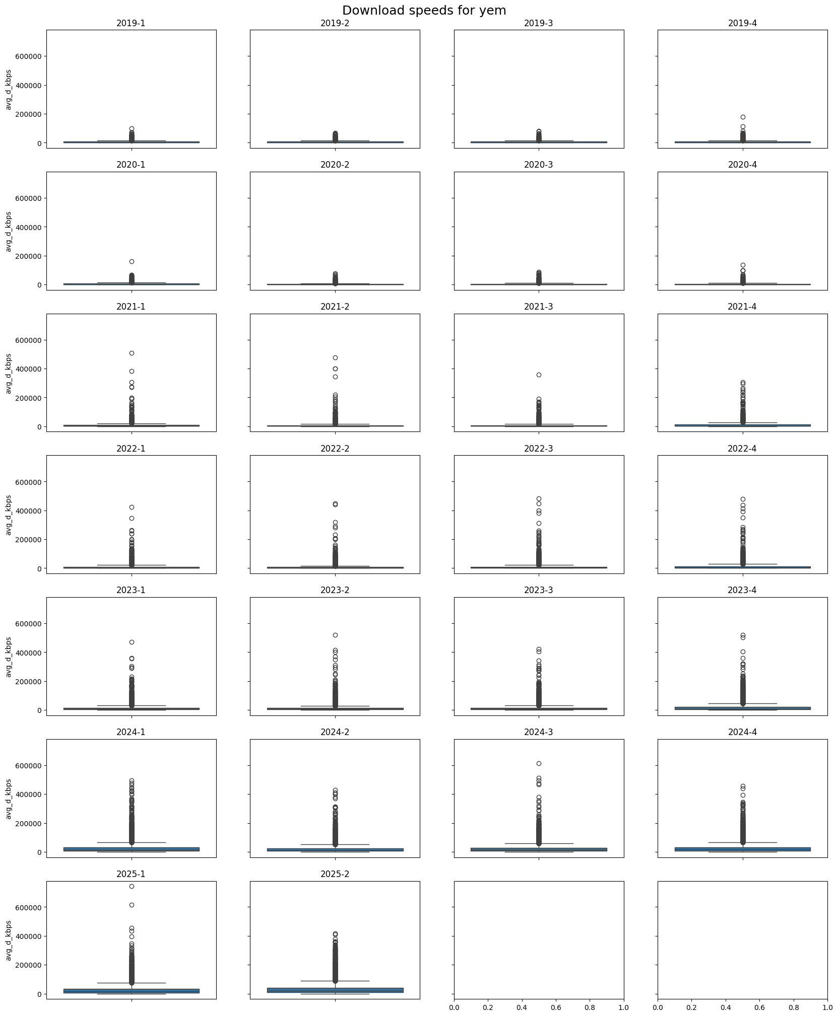
In order to verify the quality of the data, we plot the speed distribution by dataset (each quarter of the year) for each country. We did not find unexpected results.

../../_images/9fbf609e64ee20b5ef86df3cdc57484e02ea52b858f74e25a371d46ab96499d1.png ../../_images/4945770b8574dffc980b7f525facb441ce38051a358dd111f6e8e89a91c570ed.png ../../_images/ed7adacc1778eeb0a55038749880577a5b35e5d7958b092a2c2d56ce5c7e270b.png ../../_images/fdc56a438f788147a1695caf425daeaa5ea9daf560413e4dcec62f563ff512ce.png ../../_images/1826fd5ea99f7282f3c452670cd704ed21c26a830af4695dd32bd387a03d94a4.png ../../_images/ffe1e3a4670ff6efbc673dae49e2bd6ee35ceac428f945b82f7d4830295f0119.png ../../_images/29f2184309009aad3f5ed22c4956d9a52d390b57ebb52f60467c71400578ac71.png ../../_images/17b7cd405148b925063218f7a935a7da3f177287bea67ec62b0dd52d53fa78d0.png ../../_images/b850a2c329e786b3f46e8d024ee5834e86a00b04b275dbfc2288d9ba1ee4bbe2.png ../../_images/74306186827d4cedf5f086290d66291c8b435a396d1633e998f427aaeab10608.png ../../_images/8d707b7172453b543fd9a1558b8d03bf4cd865b8fcb97145054a085ea57ec7c8.png ../../_images/652c0cdf709861e75384484c35f36498f0884abd19d9c700e1085d32e8b2fce9.png ../../_images/315d58cd308d72c74aa5a8bfeb0b3c2a0b71c338617976757c99656dfaaf6650.png ../../_images/76bd3f6ef1085ee627f0bb83fa9679c44cf72b86acae5cf7a0c26a0723f71677.png ../../_images/458a3459a3fb722a0cdff475b928a3a54a842b8867a60264607dcff6c235d9ee.png ../../_images/e90fbc3f880427500291e5f1e5ff86aad4252fdfefeee79277a36c44e2683765.png ../../_images/16ead4bc68a59ca8fb8af6bd3b2706fd39b98ef60e62ce4e9fe4afde3ca0b338.png ../../_images/eae0f49811cfad1bd84921cbc6933c4607830175034259fa181069b03c0eefb3.png

Coverage by country for Q2 - 2025#

../../_images/26b42537a7da37686683da9497bb2c785a33aa2e9a421ef77392cea3f2126c1b.png