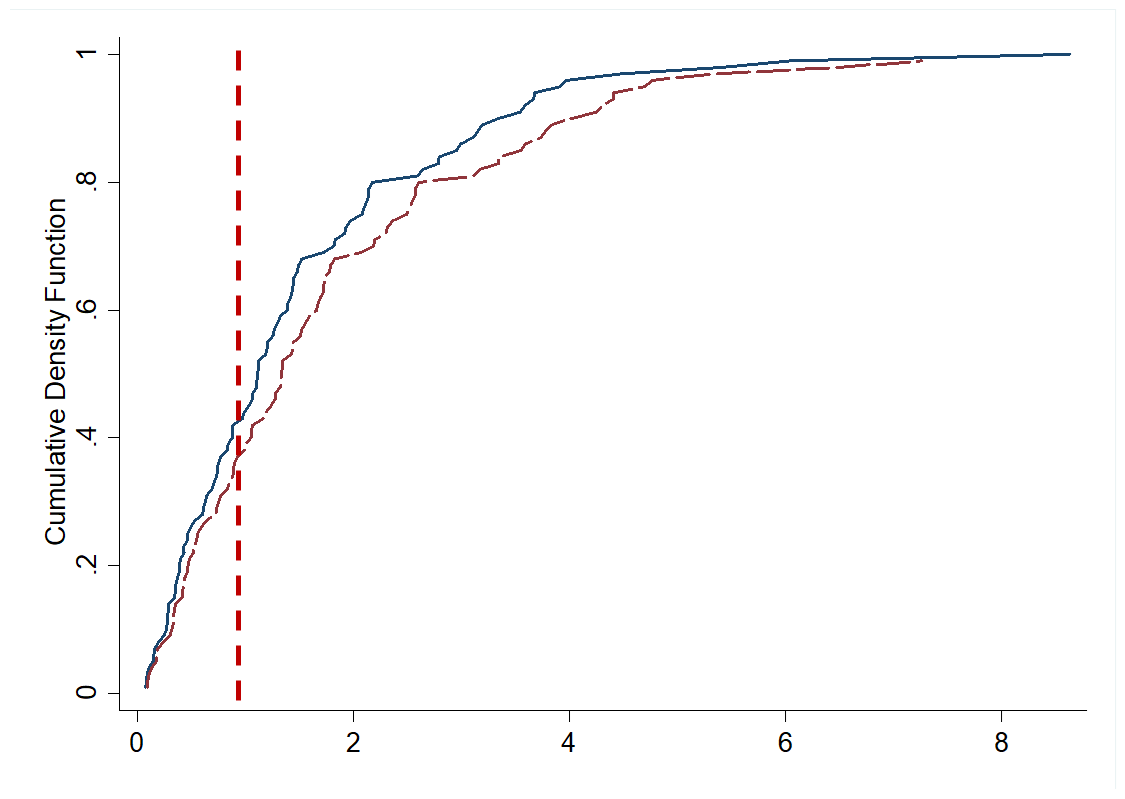
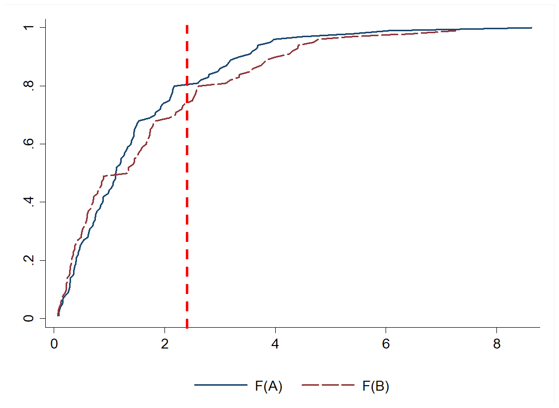
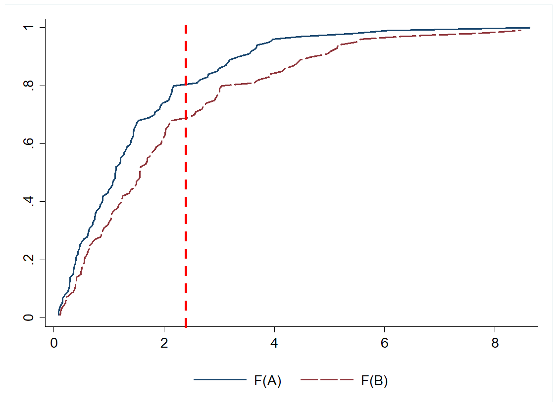
class: center, middle, inverse, title-slide # Sensitivity analysis of poverty ### R.Andres Castaneda (based on the slides of many others that teach this class before me) ### The World Bank ### 2019-07-16 --- # Why checking for robustness? - What do you think are the main reasons why poverty may not be robust? -- 1. Arbitrariness of the choice of Poverty Index 2. Arbitrariness of the choice of Poverty Line 3. Equivalence of scale used 4. Sampling error -- - What else? --- # Elasticity of FGT poverty measure with respect to per capita consumption `$$\eta = \frac{\Delta\%FGT_\alpha(x,z)}{\Delta\%PCE}$$` -- - Shift the distribution without changing its relative shape - Poverty line remains constant - What would happen if there is a concentration of marginal poor around the poverty line? -- - .red[What are the main reasons why the consumption aggreagte may change?] --- ## Graphical representation of change in PCE <img src="./img/pce_shift.png" width="1500" style="display: block; margin: auto auto auto 0;" /> --- ## The same is true if we change the poverty lines - Each component of the absolute poverty line (i.e. CBN) is a function of several variables that affects results - Food component - “Reference” Group could lead to different poverty lines even using the same method; - Nutritional requirement - Average or median of the “reference” population not only for quantities but also for prices - Nonfood component - How do we define the interval (“close”) to the poverty line? - Lower poverty line & upper poverty line --- ## Graphical representation of change in poverty lines <img src="./img/pl_shift.png" width="1500" style="display: block; margin: auto auto auto 0;" /> --- # Poverty Dominance Analysis - Dominance analysis is a comparison of multiple distributions. - It allows us to compare results for all poverty lines when comparing across time/subpopulations - Three relevant poverty curves: - Poverty incidence curves - Poverty deficit curves - Poverty severity curves --- ## Poverty incidence curves <img src="./img/pov_inc_curve.png" width="1629" style="display: block; margin: auto auto auto 0;" /> ??? The height is the headcount ratio when the poverty line is set at a particular level of the welfare aggregate (i.e. income or consumption). In other words, it is the CDF --- layout: true ## 1. First Order Dominance --- - If the poverty incidence curve for distribution A is above that for B for all poverty lines (up to `\(z_{max}\)`)... -- - ... there is more poverty in A than in B for all poverty measures and all poverty lines (up to `\(z_{max}\)`) --- ### Graphically it looks like this <img src="./img/fst_ord_dom.png" width="1500" style="display: block; margin: auto auto auto 0;" /> --- ### but, - What if the poverty incidence curves intersect? -- <img src="./img/not_fst_ord_dom.png" width="1500" style="display: block; margin: auto auto auto 0;" /> --- ### but, - What if the poverty incidence curves intersect? - Ambiguous poverty ranking - What could you do? - Restrict range of poverty lines - Restrict class of poverty measures --- ### Poverty Deficit curves - Area under poverty incidence curve - The height is proportional to the poverty gap measure, the larger the height the larger the poverty gap measure for a given poverty line or level of welfare aggregate - Each point gives average poverty gap = poverty gap index times the poverty line `\(z\)` --- ### Graphically, it look like this <img src="./img/pov_deficit_curve.png" width="1828" style="display: block; margin: auto;" /> layout: false --- layout: true ## 2. Second Order Dominance --- - If the poverty deficit curve for distribution A is above that for B for all poverty lines (up to `\(z_{max}\)`)... - ...there is more poverty in A than in B for all poverty measures which are strictly decreasing and weakly---convex in welfare aggregate (i.e. consumption or income) of the poor such as the Poverty Gap and Severity but not Headcount Ratio --- <img src="./img/def_curve1.png" width="70%" style="display: block; margin: auto;" /> --- ### But, - What if the poverty deficit curves intersect? -- <img src="./img/def_curve2.png" width="70%" style="display: block; margin: auto;" /> --- ### But, - What if the poverty deficit curves intersect? - Ambiguous poverty ranking -- - What could you do? - Restrict range of poverty lines - Restrict class of poverty measures -- - .blue[... And so on and so forth with poverty severity] --- layout: false # Poverty dominance analysis - Recommendations - First Order: construct the poverty incidence curves up to highest admissible poverty line for each - distribution - Do not cross `\(\rightarrow\)` Unambiguous comparison (2nd and 3rd Order holds too) - Do cross `\(\rightarrow\)` perform Second Order Dominance test - Second Order: build poverty deficit curves and restrict range of proper measures - Do not cross `\(\rightarrow\)` Unambiguous comparison for higher order poverty indexes - Do cross `\(\rightarrow\)` perform Third Order Dominance Test - Third Order: create poverty severity curves - Do not cross `\(\rightarrow\)` Unambiguous comparison - Do cross `\(\rightarrow\)` nothing left to do --- layout: true # Equivalence of Scales --- - Two options for the arbitrary approack - OECD - Modified scale `$$AE_{OECD} = 1 + 0.5 \times (N_A - 1) + 0.3 \times N_C$$` Where, - `\(N_A =\)` Total number of adults - `\(N_C =\)` Totol number of children - LSMS (National Research Council '95) `$$AE_{LSMS} = (N_A - \alpha N_C)^\theta$$` Where, - `\(\alpha =\)` Adult equivalent `\(\in (0,1)\)` - `\(\theta =\)` Economies of scale `\(\in (0,1)\)` --- ## To check the sensitivity of the paremeters - Select a "pivot" household which is unaffected by changes in parameters - It could be any _household composition_ that would be chosen as modal type: `\((N_{A0};N_{A0})\)` - Ex: Two adults and two children `$$x^* = \frac{x} {(N_A + \alpha N_C)^\theta} \frac{(N_{A0} + \alpha N_{C0})^\theta} {(N_{A0} + N_{C0})}$$` - `\(x^*\)` is always equal to per capita expenditure for the reference household because `\(N_A = N_{A0} \text{ and } N_C = N_{C0}\)` - For all other household, - `\(1^{st}\)` term if expenditure per adult equivalent - `\(2^{nd}\)` term is a constant ($N_{A0} \text{ and } N_{C0}$ and fixed) --- <img src="./img/adult_equiv_comparisons.png" width="1567" style="display: block; margin: auto auto auto 0;" />